2023年浙江师范大学各专业考研报录比!

发布时间:2023-07-07 09:54:22 来源:浙江师范大学

浙江师范大学

2023年浙江师范大学各专业考研报录比!

浙江师范大学是一所以教师教育为特色的综合性省属重点大学,是浙江省首批重点建设高校,入选国家“111计划”、“卓越教师培养计划”、“新工科研究与实践项目”、教育部“教育援外基地、商务部“中国基础教育援外研修基地”、中国—东盟教育培训中心、中国政府奖学金来华留学生接收院校、浙江省十佳对外合作单位、“浙江省国际化特色高校”建设单位,建有浙江省唯一的教育学一级学科重点研究基地。

 

 

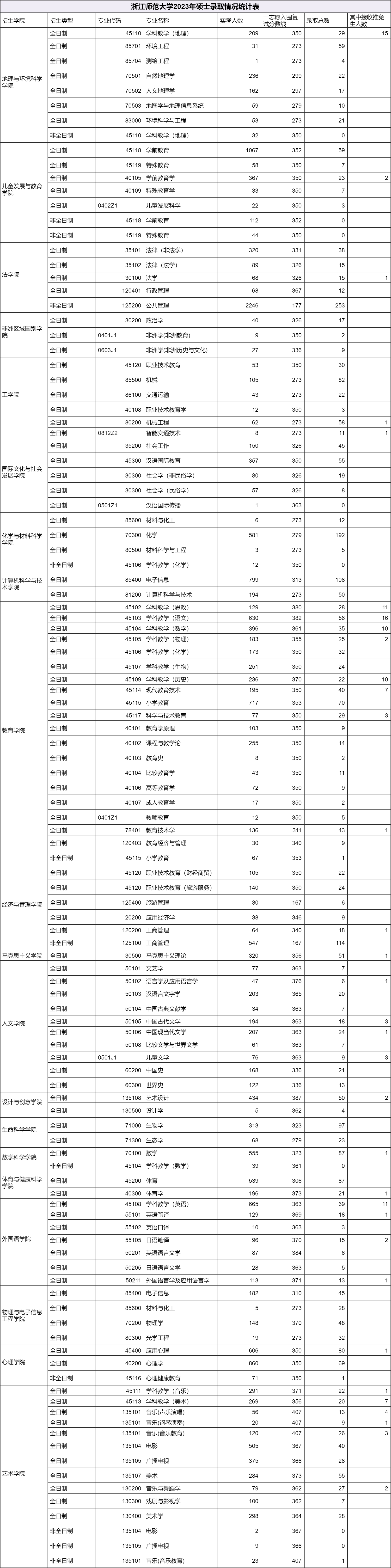
2023报录比信息

2023年浙江师范大学各专业考研报录比!

*以上信息来源于浙江师范大学,具体以官网为准。

 

 
 
以上就是《2023年浙江师范大学各专业考研报录比!》介绍。考研辅导站,专业考研门户。快速了解研究生招生政策、入学条件、考试资讯、招生简章等,欢迎在线预约咨询。

相关考辅机构

学府考研总校

[ 北京市 ] 北京市市海淀区中关村大街甲28号海淀文化艺术大厦B座508

启航考研总校

[ 北京市 ] 北京市市海淀区北三环西路西海国际

中公教育考研

[ 北京市 ] 北京市市海淀区学清路23号汉华世纪大厦